威乐WILO前沿技术速递:高效集成式全变频泵组在恒压供水系统的应用
关键词:变频器;恒压供水系统;集成式全变频泵;高效;节能
1 前言
变频调速恒压供水设备从二十世纪九十年代开始在我国推广使用,是我国近二十几年来应用最为广泛的二次增压供水系统。但围绕采用变频调速恒压供水设备的用户是否普遍都有较好的节能效果,业内却又一直存有较大争议。采用高效集成式全变频控制技术研发成功的水泵专用集成式变频器并将其成功应用于建筑二次供水领域,是变频调速恒压供水设备控制技术研发进程中的关键突破和重大创举。高效集成式全变频恒压供水设备的最显著特点是高效、节能、集成化,它的推广应用将引领未来建筑二次供水设备发展的主导潮流。
2 高效集成式全变频泵节能原理分析
2.1 变频调速技术的节能原理
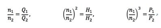
我们知道,在变频调速供水设备中,影响变频调速供水设备节能效果的关键因素取决于系统中所选的工作水泵是否在整个供水过程中都能连续稳定运行在高效区。根据水泵的相似定律,对同一台水泵输出功率和转速、扬程及流量有如下关系:
从以上公式可知,当扬程不变,水泵出水量减少,转速可同比例下降,其水泵功率也会快速下降,能耗大幅度降低。
变频恒压供水设备的实现节能的原理就是:当工作泵出水小于额定流量时,通过一个变频器(单变频)及相关的电气元器件组成的控制回路,根据系统的流量变化实现加泵或减泵,再通过工频、变频切换的方式控制一套泵组的目的。即使是为设备的每台工作水泵分别配置有变频器(多变频),它的运行模式还是这种方式,只是解决了在每台水泵启动、停止时实现软启动,有利于消除水锤现象,但整套设备还只是一套控制系统。
这一技术的缺点是:它因受水泵的高效范围较窄制约,使变频泵转速在30Hz~50Hz范围内变化(即水泵出水量在100﹪~60﹪范围内变化),节能效果相对明显;当水泵转速低于60﹪时,水泵和电机的效率将显著降低,不节能或节能有限;当频率降至25Hz以下时,水泵不出水,电机不做有效功,能量浪费依然存在。
2.2 高效集成式全变频泵节能原理
在民用建筑二次增压给水设备中,设备在实际运行时系统供水流量是一个动态变化的过程。可以说大多数时间用水需求均处于低峰状态下,目前国内常见的PLC组成的单(多)变频给水系统中,当一台水泵不能满足正常供水时,第二台泵因效率的原因即最低运行频率的制约,在60﹪以下流量需要用60﹪以上的启动频率来运行第二台水泵,势必造成电能的浪费。为了解决上述系统运行能耗问题,我们用高效集成式全变频技术可以实现两台或两台以上水泵的同步变频运行问题,即实现泵组内多台水泵效率平均分摊,同时变频运行,使得每一台水泵均处于高效段运行,同时又能克服因变频给水系统中最低运行频率制约的问题。
3 高效集成式全变频泵组
应用集成式全变频控制技术,每一台水泵均独立配置一台变频控制器,各泵机上的变频控制器通过内部CAN总线技术,实现多台泵机之间的相互通信,使整套设备具有多个与水泵一对一互相匹配的变频和控制大脑,设备中所有水泵共享系统运行数据信息,联动均衡运行,克服水泵不在高效区运行现象,实现真正意义上的全变频控制运行。
3.1 产品组成
系统主要由高效不锈钢多级离心泵、集成式变频器、控制柜、底板、不锈钢管路、阀门以及气压罐等组成。
3.2 产品特点
a) 配置集成式变频器
智能的变频高效电机,内置PID和先进的节能软件,精确控制性能输出满足水力要求。
b) 分散型控制
每台变频器内置主板控制器,且均具有独立的控制运行功能,泵与泵之间通过CAN总线互相联动运行。当一台泵控制器出现故障时其它泵可正常运行给用户供水。
c) 节能型系统
在同一工作泵组中,能够实现所有工作水泵同步变频运行,能够根据用水总需求量自动平均分摊运行效率(如图1),较传统恒压变频给水设备(如图2)节约电能13﹪以上。
d) 高效的水利部件
获得专利的3D叶轮设计使每级高压叶轮保持在同样高的效率水平。图3是用传统的水利部件和3D高效水利部件进行的性能比较,从图3中可知, 配置3D高效水利部件的泵效率提升高达10﹪以上。
e) 维修方便
根据EN 2006/42/CE标准而设计的联轴器保护装置,如图4所示,独特的联轴器Spacer设计如图5,同时可配置集装式机械密封,如图6。所有以上设计保证了最短的维护时间。

系统通过半导体数字芯片无触点切换实现水泵的启停,不需要继电器电路,减少了继电器电路中触点的频繁吸合断开,降低故障发生率,提供系统的安全性、可靠性。
g) 噪声低
变频降噪技术,能大幅度的消除降解变频电流声。比普通变频技术噪声降低10-20dB。变频输出交接自保持技术,最大限度的降低控制柜元器件动作声音。
h) 全不锈钢结构
水泵、管路、阀门及配件使用食品级不锈钢,保证水质清洁。
i) 控制系统自身能耗少
把变频器和控制器集成一体的水泵专用变频器,将不再需要体积庞大的控制柜(如图7、图8),减少了因控制系统中元器件及电气线路自身发热产生能耗约占水泵能耗3~5﹪左右。
3.3 系统功能
b) 超越故障泵运行功能:采用CAN通信水泵发生故障时,系统能自动启动下一个正常水泵运行。
c) 效率平均分摊功能:每台泵变频运行工作效率相同,此功能能够克服因电机最低启动变频的制约而造成电能的浪费。
d) 节能:系统采用先进的高效集成全变频控制技术,与传统的PLC变频控制技术相比,系统平均节能约13﹪以上。
e) 保护功能:泵组采用“先启先停”的运行方式,循环运行,不分主用、备用泵,所有水泵均匀运转,避免备用泵长期不启动所造成的锈蚀损坏,在夜间用水低峰期则用稳压泵低频运转来稳压。这样,既延长了泵组的使用寿命,又降低了泵组的维护费用。
f) 自动定时切换功能:控制系统中设有定时器,可记录每台水泵的累计工作时间,当某泵累计工作时间达到设定值时,控制系统将根据数据对比中断该泵的运行,该泵即自动转为备用并重新计时,下台水泵自动切换运行,依次循环,达到定时切换目的。
g) 无水自动停机功能:无水时能自动停机保护并报警,有水时能自动启动。
h) 小流量停泵保压:系统在用水低谷,能自动切换到小流量自动停泵保压状态。
i) 瞬时断电自恢复功能:因电网变化发生瞬时停电,来电后自动恢复运行状态。
4 结束语
在中国随着城市化进程的快速发展,城镇自来水用水需求也随之不断增加,各类二次增压变频恒压供水设备随着城市化进程蓬勃发展,而变频恒压供水设备是实现二次增压设备可靠运行的核心部分。在国内,以集成技术为平台的系列变频控制技术得到了广大用户的欢迎,因其具有安全可靠、低能耗、功能强大、智能化程度高、操作维修便捷等特点。它可应用到包括老旧二次供水泵房的节能改造,新建项目的二次增压供水以及空调暖通循环供水系统、工业、家用供水等领域,特别是随着全球气候变暖及能量匮乏,国家可持续发展的战略需求,节能减排任务更加紧迫,可以预见,采用高效集成全变频控制技术的恒压供水设备的需求和应用将会越来越多。
参考文献
[1] 李良仁,王兆晶,汪临伟. 变频调速技术与应用[J].电子工业出版社,2004。
[2] 桂刘丰. 传统高位水箱供水与变频供水比较研究.科技创新导报,2009.5。
[3] 王守立. 小区建筑调速供水的节能再论. 建筑节能.2009.6。
