探讨水泵变频节能技术的基本原理与实际应用(二)
核心提示:探讨水泵变频节能技术的基本原理与实际应用(二)
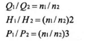
我们可以通过以下公式得出:泵的功率与转速的立方成正比。假设,将转速下降1/2,那么功率就会下降1/8。可以说功率同转速成立方次的降低关系,所以说,降低转速是快速降低运行功率的一种切实可行的方法。
例如图2所示的泵的运行效率曲线,因为A、B运行工况点的转速是相同的,所以A、B两点会在同一条曲线上,而c点是在转速调整后的曲线上。由于B、c两点的流量是相同的,从图上可以看出B点的运行效率是远小于c点的运行效率的。这就进一步说明转速的改变对泵工作效率的改变有着密切的关系。
正如我们所想的一样,泵类调速的方法有很多。通过不同层面的比较,我们会得出这么一个结论:变频调速在这些方法中是综合性能最好的一种方法。变频调速自身的低频转速、工作效率、动态响应、抗干扰能力等方面的优越性是其它方法无法比拟的。在国外的泵行业,变频调节技术发展、应用的非常快。经过大量的实践证明,应用变频技术来调节泵的工作,其节能效果是十分显著的。其主要的优点有以下几点:
(1)调速范围广,其调速范围通常会到达20:1,而且在调速允许的范围内均具有较高的调节效率;
(2)调节效率高。如果泵采用变频调节技术,其节能量相对于之前来说是相当可观的。可以说变频调节技术是一种十分高效的调速方法;
(3)对泵的相关调节阀、管道等的使用寿命均有延长的作用,部件的使用寿命延长,相应的就会使部件的维修、更换费用降低,大大减少了人力、物力的投入;
(4)软启动的实现,使得泵在启动时刘电网的冲击力减小,当泵停止工作时可以实现软停车,十分有效的防止了水锤现象的出现;
(5)应用变频调节在一定程度上对噪音的减小有限制作用。
(6)变频设备一旦发生故障,泵可以立即退出运行,并改为电网直接对其进行供电,这对泵的持续工作不会带来太多的影响。
2.变频技术的实际应用
我们以55kw大型水泵为例。对于类似这种运行工况范围变化较大的泵,我们要采用变频节能技术对其进行改造。依据其额定功率的大小,选择水泵专用变频器、相配套的专用风机对其进行改造。假设我们改造完成后其市场价在三万元左右。如果按改造后可节约用电量35%来计算的话,一台每天运行10小时以上的水泵一年可节约用电的费用在四万元以上,即一台改造后的水泵可以在不到一年的时间里将成本收回。所以,运行工况的范围是相对较大的泵类,采用变频节能技术改造是十分有必要的。但是,变频器调节法不是万能的。对于自身成本较低的家用或者小型泵站使用的潜水泵等,一般不建议采用这种初投资大、改造复杂的的变频器节能技术。因为变频器的价格和水泵本身想比,变频器的价格远高于水泵自身的价格,而且不是短期的成本回收期。所以,对于运行工况不经常改变或者运行工况变化范围小的泵,采用变频调速节能的技术也不是其降低能耗的最有效方法。
3.变频调速泵应用时要考虑的因素及目前的行情
3.1变频调速泵应用时要考虑的因素。
(1)水泵的工艺特点对调速范围的影响。
(2)定速泵对调速范围的影响。
(3)电机效率对调速范围的影响
3.2目前的行情
经过大量的市场调研,我国的变频技术只有在近几年才有了大幅度的发展。相比于前几年价格高的变频技术而言,如今的变频技术正在向节能、环保、可持续发展的方向改进,而且变频器的价格也日渐降低,价比也在不断提高,这是变频技术得以推广的一个重要因素。但是还有一个最不容忽视的问题那就是成本问题,如果能够研发出价格低廉、性价比高的变频器,能够使得变频器的投资,在短时间内得以将成本收回,相信变频器的应用会更加的普遍。现在,世界上一些先进国家的变频技术正在向可靠性能高、功能多样化、变频器小型化、抗公害等方面发展。而我国变频器的市场也在向世界看齐。相信泵变频调速技术必将会得到广泛的应用。
结语:
变频技术在水泵行业的大量应用,原因在于其拥有显著的节能效果、安全可靠的工艺和性能良好的调速效果等优点。现如今的社会,正在向资源节约型、环境友好型的社会转变,能源的节约是世界广泛关注的一个问题。把如今的电子电力技术同先进的计算机技术融合起来,形成的节能高科技装置势必会得以推广,而且这对把劳动的生存率升高以及节能减排有着十分重要的意义。
更多>同类泵业资讯
